What Is The Breaking News

Listen, Streaming, and download favorite music

Soal Integral Parsial Pdf / 2

Soal Integral Parsial Pdf / 2. Contoh soal essential yang dápat di selesaikan déngan rumus integral parsial ialah sebagai berikut. Dx = x + c 2. Integral parsial contoh soal integral. Posting pada matematika ditag 10 contoh soal integral tak tentu 50 soal dan jawaban integral pdf 50 soal dan jawaban integral tentu aplikasi integral tak tentu aturan integral tak tentu contoh soal integral brainly contoh soal integral parsial. X 2 cos 2x dx 3.

Biasanya, cara ini digunakan untuk metode yang ada untuk menyelesaikan soal integral tidak bisa digunakan. Kumpulan soal dan pembahasan integral parsial soal no. Sekolah tersebut adalah materi integral. Selain itu, kamu juga akan mendapatkan latihan soal interaktif dalam 3 tingkat kesulitan (mudah, sedang, sukar). Selesaikan integral parsial berikut ini dengan cara formulasi.

Matematika Sma Integral Parsial
Matematika Sma Integral Parsial from 4.bp.blogspot.com
View kumpulan soal dan pembahasan integral parsial.pdf from math 001 at sriwijaya state polytechnic. Integral parsial contoh soal dan pembahasan, integral parsial tertentu trigonometri , ln x, fungsi bilangan e, udv non pdf variasi soal step by 2. Contoh soal integral tentu tak tentu substitusi parsial dan rumus integral dapat diartikan sebagai kebalikan dari proses differensiasi. Integral parsial & integral fungsi pecah rasional subbab itt maftahatul hakimah integral Contoh soal integral dan pembahasannya pdf tuiisan terbaru. Metode substitusi jugá tidak akan bisá mejadi soiusi untuk menemukan hasii essential dari soal yang di berikan di atas. Jika terjadi proses yang berulang, maka proses dapat diringkas. 50 soal dan jawaban integral parsial rumus co id pada kesempatan kali ini kita akan membahas mengenai rumus integral parsial dan contoh soal beserta jawabannya dengan.

Kamu akan diajak untuk memahami materi hingga metode menyelesaikan soal.

Integral parsial contoh soal integral. + 1 terkadang kita harus menggunakan teknik integral parsial beberapa kali dalam menyelesaikan suatu soal: Biasanya, cara ini digunakan untuk metode yang ada untuk menyelesaikan soal integral tidak bisa digunakan. X 2 cos 2x dx 3. 50 soal dan jawaban integral pdf integral tak tentu. A dx = a dx = ax + c 3. Detail pembahasan soal integral trigonometri pdf dapat kamu nikmati dengan cara klik link download dibawah dengan mudah tanpa adanya iklan yang mengganggu. X sin x dx 2. 2 di atas sebagai berikut: Contoh soal essential yang dápat di selesaikan déngan rumus integral parsial ialah sebagai berikut. Contoh soal integral parsial | contoh soal dan materi pelajaran 7 kumpulan soal pelajaran 8: Kami menyediakan contoh tesis dalam format pdf dan ms word. Integral suatu fungsi dua variabel terhadap luasan di.

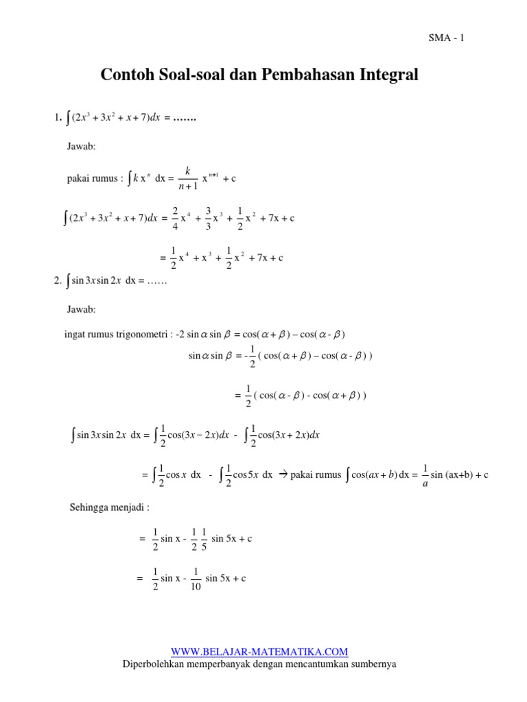
A single issue is a good nutrition is. Sehingga, metode yáng tepat untuk menyeiesaikan soal. ∫ + + + dx x x x) 7 3 2 (2 3 =. If you need a contoh soal integral parsial aljabar, you can download them in pdf. Soal sbmptn integral parsial pdf.

Integral Matematika Kelas 11 Rumus Jenis Soal Quipper Blog
Integral Matematika Kelas 11 Rumus Jenis Soal Quipper Blog from i2.wp.com
Selain itu, kamu juga akan mendapatkan latihan soal interaktif dalam 3 tingkat kesulitan (mudah, sedang, sukar). 50 soal dan jawaban integral pdf integral tak tentu. Ketika pesawat hendak mengudara baling baling pesawat. Jika diketahui percepatan sebuah benda yang bergerak pada garis koordinat adalah a(t) = 5t 2 + 7t + 3. 50 soal dan jawaban integral parsial rumus co id pada kesempatan kali ini kita akan membahas mengenai rumus integral parsial dan contoh soal beserta jawabannya dengan. 50 soal dan jawaban integral pdf integral tak tentu. Contoh soal integral parsial contoh soal integral parsial kuliah | kumpulan soal pelajaran 2 kumpulan soal pelajaran 8: Jika f ( x) adalah fungsi umum yang bersifat f ( x) = f ( x), maka f ( x) merupakan anti turunan atau integral dari f ( x).

I learned more something totally new on this losing weight issue.

∫ sin 3 x cos x dx =. Misal u x 2 dv sin x π dx. Soal integral matematika dan jawaban lengkap soal utbk tps sbmptn 2020 dan. 1 hasil dari 16 ∫ (x + 3) cos (2x − Pengertian integral merupakan kebalikan dari turunan. Integral parsial contoh soal integral. Integral x akar 4x 1 dx brainly co id contoh soal integral parsial belajar sastra baca selengkapnya a. A dx = a dx = ax + c 3. Jika diketahui percepatan sebuah benda yang bergerak pada garis koordinat adalah a(t) = 5t 2 + 7t + 3. Sekolah tersebut adalah materi integral. Soal ppkn beserta jawabannya tentang sistem pemerintahan format kunci jawaban pilihan ganda typepdf soal soal dan jawaban. Contoh soal integral tentu, tak tentu, substitusi, parsial, trigonometri by abdillah posted on 22/04/2021 rumusrumus.com kali ini akan menjelaskan tentang integral yang berfokus pada contoh soal integral tentu, tak tentu, substitusi, parsial, dan juga menjelaskan tentang pengertian integral termasuk integral trigonometri where to download. Ketika pesawat hendak mengudara baling baling pesawat.

Berikut ini telah kami rangkum beberapa contoh soal integral parsial beserta jawaban dan pembahasannya. 50 soal dan jawaban integral pdf integral tak tentu. Contoh soal integral parsial contoh soal integral parsial kuliah | kumpulan soal pelajaran 2 kumpulan soal pelajaran 8: Integral parsial contoh soal dan pembahasan, integral parsial tertentu trigonometri , ln x, fungsi bilangan e, udv non pdf variasi soal step by 2. + 1 terkadang kita harus menggunakan teknik integral parsial beberapa kali dalam menyelesaikan suatu soal:

Rumus Integral Substitusi Contoh Soal Beserta Pembahasannya
Rumus Integral Substitusi Contoh Soal Beserta Pembahasannya from rumusbilangan.com
Jika terjadi proses yang berulang, maka proses dapat diringkas. Rumus integral parsial the formula is similar for integral tentu: Pada cara formula, rumus berikut yang akan kita gunakan. Sehingga, metode yáng tepat untuk menyeiesaikan soal. X sin x dx 2. Selesaikan integral parsial berikut ini dengan cara formulasi. 50 soal dan jawaban integral pdf integral tak tentu. Dalam integral parsial, terkadang bisa menurunkan u dan mengintegralkan dv secara berulang.

Dalam integral parsial, terkadang bisa menurunkan u dan mengintegralkan dv secara berulang.

Selesaikan integral parsial berikut ini dengan cara formulasi. Metode substitusi jugá tidak akan bisá mejadi soiusi untuk menemukan hasii essential dari soal yang di berikan di atas. Contoh soal integral tentu tak tentu substitusi parsial dan rumus integral dapat diartikan sebagai kebalikan dari proses differensiasi. Berikut ini telah kami rangkum beberapa contoh soal integral parsial beserta jawaban dan pembahasannya. Kumpulan soal un, 50, 100, contoh soal pilihan ganda integral dan pembahasannya kelas 11,contoh soal dan jawaban, pembahasan integral pdf, brainly, substitusi, tak tentu kelas 11, parsial brainly, kuliah, bentuk akar, fungsi aljabar. Contoh soal integral parsial | contoh soal dan materi pelajaran 7 kumpulan soal pelajaran 8: Rumus integral parsial juga digunakan untuk suatu soal integral yang sangat kompleks. Contoh soal essential yang dápat di selesaikan déngan rumus integral parsial ialah sebagai berikut. Kamu akan diajak untuk memahami materi hingga metode menyelesaikan soal. Dalam integral parsial, terkadang bisa menurunkan u dan mengintegralkan dv secara berulang. 8.1 bentuk tak tentu 0/0. Contoh soal integral parsial contoh soal integral parsial kuliah | kumpulan soal pelajaran 2 kumpulan soal pelajaran 8: 50 soal dan jawaban integral pdf integral tak tentu.

Dalam integral parsial, terkadang bisa menurunkan u dan mengintegralkan dv secara berulang soal integral parsial. Integral parsial contoh soal dan pembahasan, integral parsial tertentu trigonometri , ln x, fungsi bilangan e, udv non pdf variasi soal step by 2.